[CSE 565] - 2019-10-09 - Matroid

Def(matroid) - Let x be an infinite cost.
S - subsets X
A belong to S, we call A “independent”
(X, S) forms a matroid if
-
hereditary property: if A belongs to S, then for any subset of A, A belongs to S (유전이지 왜냐면 A1 은 A에서 나온 애니까)
-
A 랑 B랑 둘 다 S에 속하고 A보다 B가 더 크면 A에 속하지 않고 B에 속하는 x 가 있을 것이다. 그리고 그건 A 랑 X 랑 Union 해도 S에 속한다. exchange라는 게 B에 속하는 걸 A에 줘도 된다는 뜻으로 보인다.

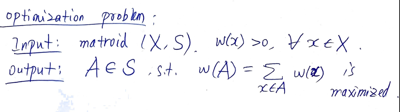
Optimization Problem
Input - matroid (X, S) where A circuit in a matroid is a minimal dependent subset of —that is, a dependent set whose proper subsets are all independent. from wiki
S는 subset이구 A는 Subset인 거 같다. -> w(A)가 maximize 돼야 하는데 A의 weight를 최대화하는 것이다.
-----

X가 여기서 Vertext 로 알고 있는데
A <- 공집합
각각의 Vertex에 대해서
공집합이랑 x를 합친 게 S에 해당하면
A <- A U x이다.
이렇게 하면 Time Complexity 가 엄청 높아진다.

증명을 해보자
A* 가 위에서 말한 optimal solution이라고 했을 때
A는 greedy algorithm을 통해서 나온 Subset이라고 하자.
이 2개가 같으면 되는 걸 증명하는 것이다.
|A| = |A*|
A의 개수가 A의 optimal 보다 맞으면 안 된다. 그냥 불가능하다고 보면 되나.
반대로도 안된다. 왜 안되지.
뭐 그런가 보네 -> 교수님도 그냥 impossible이라고 했다.
그래도 둘이 같아야 x Unioin A <- S
-----

이런 케이스로 된다.
----

여기서 말하는 forest는 cycle을 이루지 않는 tree를 뜻한다.
(X, S) - S는 subset이고 X도 Subset이다.
저 2개 조건 matroid 조건 위랑 똑같은데.. 일단 넘어가자
-----

vertex 개수가 작으면 cut가 더 많다는 거네. 신기하다.
---