MJay
Spock: Exploiting Serverless Functions for SLO and Cost Aware Resource Procurement in Public Cloud Jashwant - (3) 본문
Spock: Exploiting Serverless Functions for SLO and Cost Aware Resource Procurement in Public Cloud Jashwant - (3)
MJSon 2019. 10. 6. 00:01

VM 은 우리가 아니 ec2 instance + ebs 등등이 있다.



Table 1을 봐야겠다. 일단 load generator를 만들었나 보다
VM 은 Second 단위로 측정이 되는데
Lambda는 lambda 실행 개수, 걸리는 시간, 메모리

Query Type 이 다 ML이구나 Lambda에서 돌린 거 같고
vCPU 마다 돌린 아마도 이게 4개라는게 Parallel인 거 같다.

걸리는 시간을 똑같다고 가정하에 저걸 비교했다고 보면 된다.
그게 iso-performance을 하면 된다.
ResNet - 200 하는건 VM이 더 싸다는 거다. 그러나 web services the requests are periodic이라는 뜻이 계속 온다는 건데 그러면 더 계속 VM이 더 쌀꺼같은데

Lambda가 fixed load 에는 비싸지만 constant arrival rate 아 이게 lambda라서 그럴 수도 있겠다.


higher average request rate에는 더 비싸다
average request rate가 낮으면 lambda가 더 싸다

arrival rate에 따라 둘 중에 하나가 싸다
근데 이건 예측이 안됨
고래서 예측을 잘하는 게 중요하다
VM에서 할 경우 higher cost 가 나온다. 그러나 under provisioning leads to severe slo violations이다
Serverless는 SLO을 해결해주면 효율적이지 않다.
under provisiong에서는 Serverless가 싸는 게 그렇게 말을 하지만 결론은 비싸다

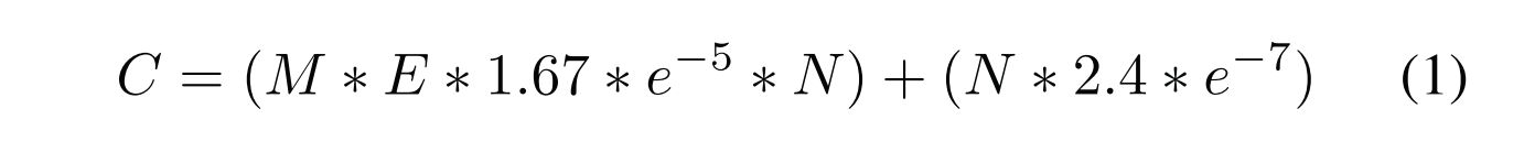
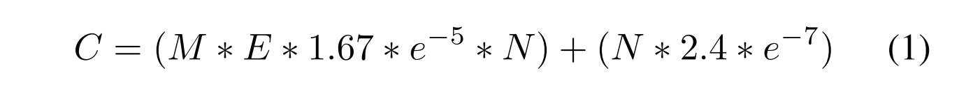
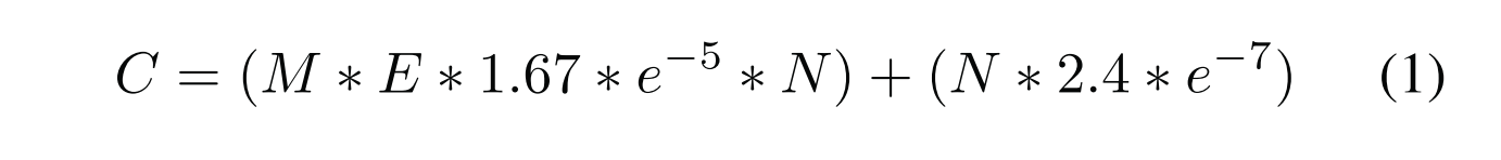
그래서 Spock을 제시를 했다.


