MJay
[CSE 565] - 2019-10-07.pdf 본문
notes-2019-10-07

undirected graph 에서 V1 = V and E <= E 이게 무슨 뜻이지?
아 Spanning Tree 의 정의구나 한번 뭔지 찾아보자
Spanning Tree는 그래프의 최소 연결 부분 그래프 이다.
https://gmlwjd9405.github.io/2018/08/28/algorithm-mst.html

Edge 개수가 Vertex 개수보다 1개 작을 때 Spanning Tree 이다.

weight 가 젤 최소화되는 spanning tree를 얻는 것이다.

Cut 이게 옛날에 퀄 준비할때도 뭔말인지 몰랐는데..
가중치를

Cut은 그냥 나눠서 Edge를 나누는거 같다.
나누어서 나누어진 Edge 가 cut-edge를 뜻하는거 같다.
cut-property는 뭐지
다시 돌아가서
http://1ambda.github.io/algorithm/algorithm-part2-1/

spanning tree 라는게 vertices를 포함하는 것이군

하나의 set 에서 다른 셋으로 이어주는 edge 가 min weight 는 MST에 속한다는 것이다
무슨 x 소리일까

이해 됬다 이건

근데 PPT를 봐도 모르겠네
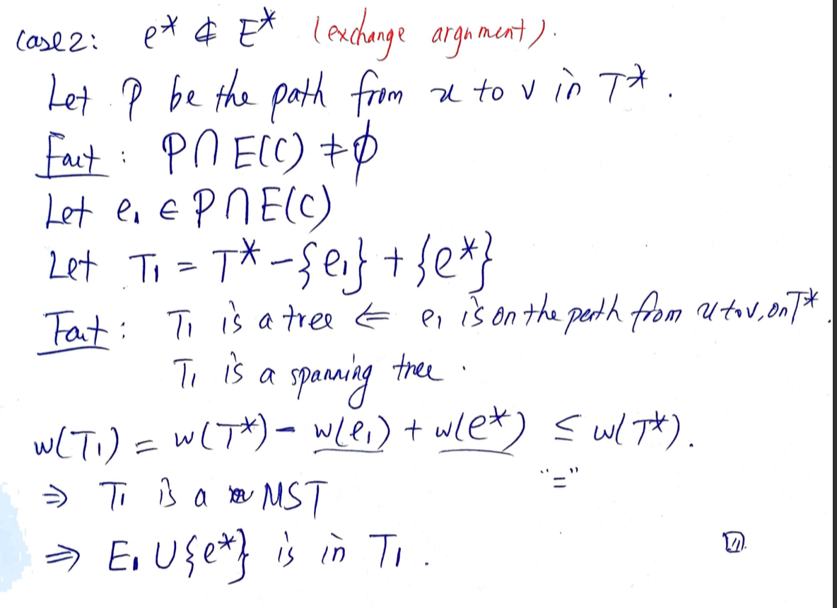
Cut - Property

여기서 E1 은 첫번째 Edge 인가.
E1 subset 이구 + e * 도 crossing weight of min weight 와 합쳐도 MST다




이거랑 비슷한거 같다. 이걸 먼저 봐야겠다.
이거랑 비슷한거 같다. 이걸 먼저 봐야겠다.

w(T1) wegiht 를 보면 w(e^*) 이 w(e1) 보다 더 작다 그래서
T1 is a MST 이다.

T1 는 MST 인데 e1 이 e * 보다 더 작기 때문에 MST 이다.
E1 edge E1 는 E1 이 subset 이다
E1 subset 이랑 e* 는 min of crossing edge 이다. 이걸 먼저 기억하자
'PSU > CSE 565 - Algorithm' 카테고리의 다른 글
| [CSE 565] - 2019-10-07.pdf 일단 오늘꺼 정리 (0) | 2019.10.09 |
|---|---|
| [CSE 565] - 2019-10-07.pdf (0) | 2019.10.09 |
| [CSE 565] 시험 공부 (0) | 2019.10.09 |
| [CSE 565] - Algorithm homework2 - (1) (0) | 2019.10.06 |
| [CSE 565] - DP - Easy Task vs Hard Task (0) | 2019.10.05 |