MJay
알고리즘 시험 준비 - [2/13 Files] - 2019-08-28 본문
2019-08-28



이것만 알고있으면 될꺼같다.

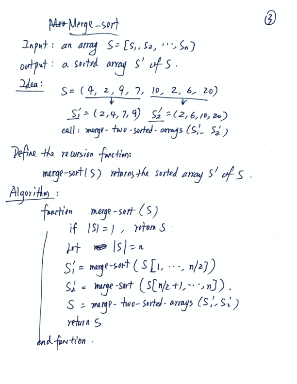
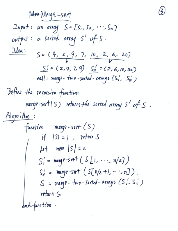
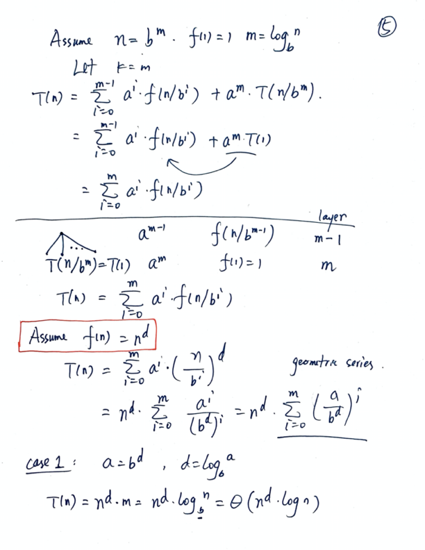
이건 Merge Sort를 Divide and Conquer 로 하는 것이다. 별거 없음
그냥 그래서 O(N log N) 이라는 것이다




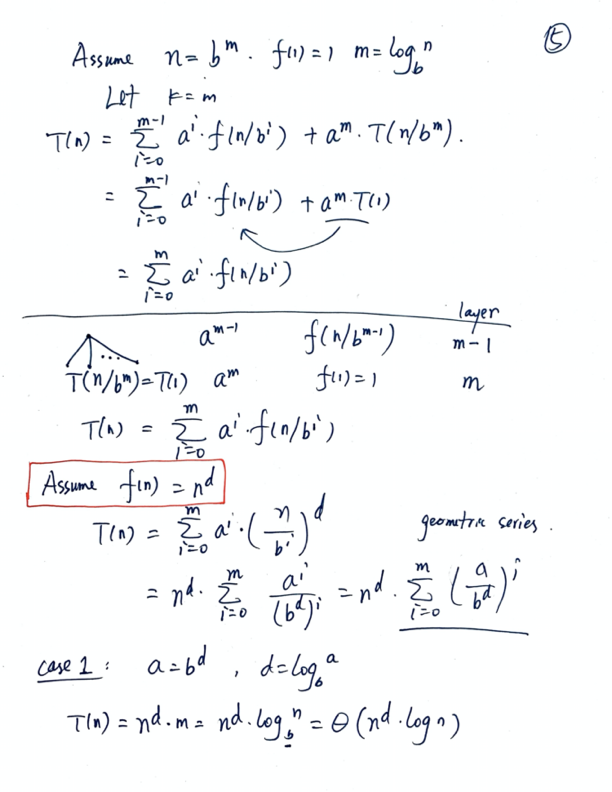
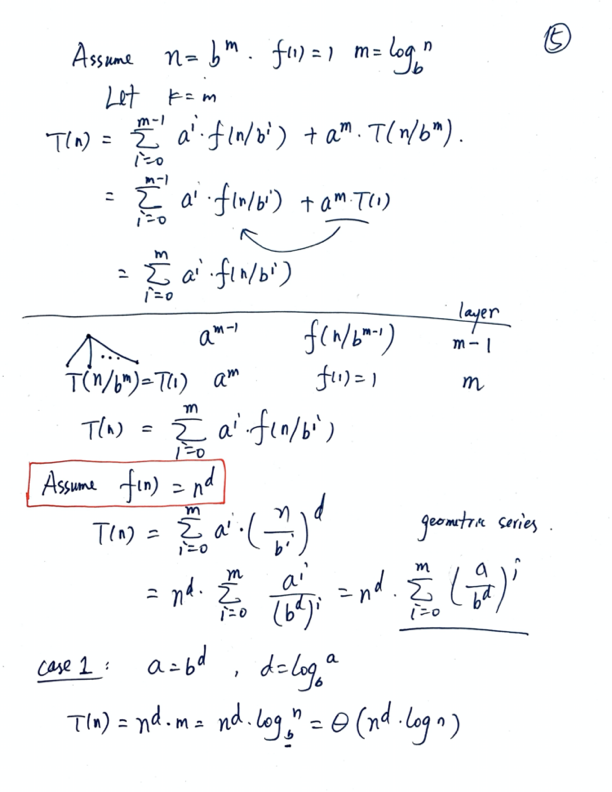
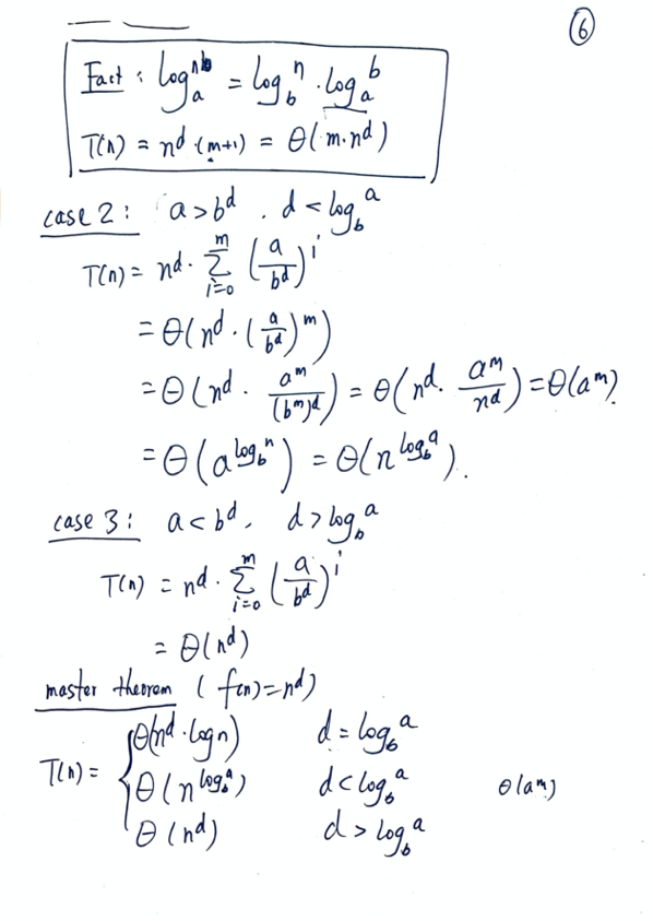
정리해보면 Master’s theorem 만 잘 알고있으면 된다.
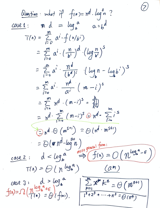
정리해보자면


'PSU > CSE 565 - Algorithm' 카테고리의 다른 글
| 알고리즘 시험 준비 - [4/13 Files] - 2019-09-09 (0) | 2019.10.15 |
|---|---|
| 알고리즘 시험 준비 - [3/13 Files] - 2019-09-04 (0) | 2019.10.15 |
| 알고리즘 시험 계획, 교수님 스타일, 2019-10-14 (1/13 Files) (0) | 2019.10.15 |
| [CSE 565] - 5일 남은시험 계획 (1) | 2019.10.12 |
| [CSE 565] - 2019-10-09 - Matroid (0) | 2019.10.10 |