MJay
알고리즘 시험 준비 - [12/13 Files] - 2019-10-07 본문
notes-2019-10-07

undirected graph 에서 V1 = V and E <= E 이게 무슨 뜻이지?
아 Spanning Tree 의 정의구나 한번 뭔지 찾아보자
Spanning Tree는 그래프의 최소 연결 부분 그래프 이다.
https://gmlwjd9405.github.io/2018/08/28/algorithm-mst.html

Edge 개수가 Vertex 개수보다 1개 작을 때 Spanning Tree 이다.

weight 가 젤 최소화되는 spanning tree를 얻는 것이다.

Cut 이게 옛날에 퀄 준비할때도 뭔말인지 몰랐는데...
가중치를

Cut은 그냥 나눠서 Edge를 나누는거 같다.
나누어서 나누어진 Edge 가 cut-edge를 뜻하는거 같다.
cut-property는 뭐지
다시 돌아가서
http://1ambda.github.io/algorithm/algorithm-part2-1/

spanning-tree 라는게 vertices를 포함하는 것이군

하나의 set 에서 다른 셋으로 이어주는 edge 가 min weight 는 MST에 속한다는 것이다
무슨 x 소리일까

이해 됬다 이건

근데 PPT를 봐도 모르겠네
Cut - Property

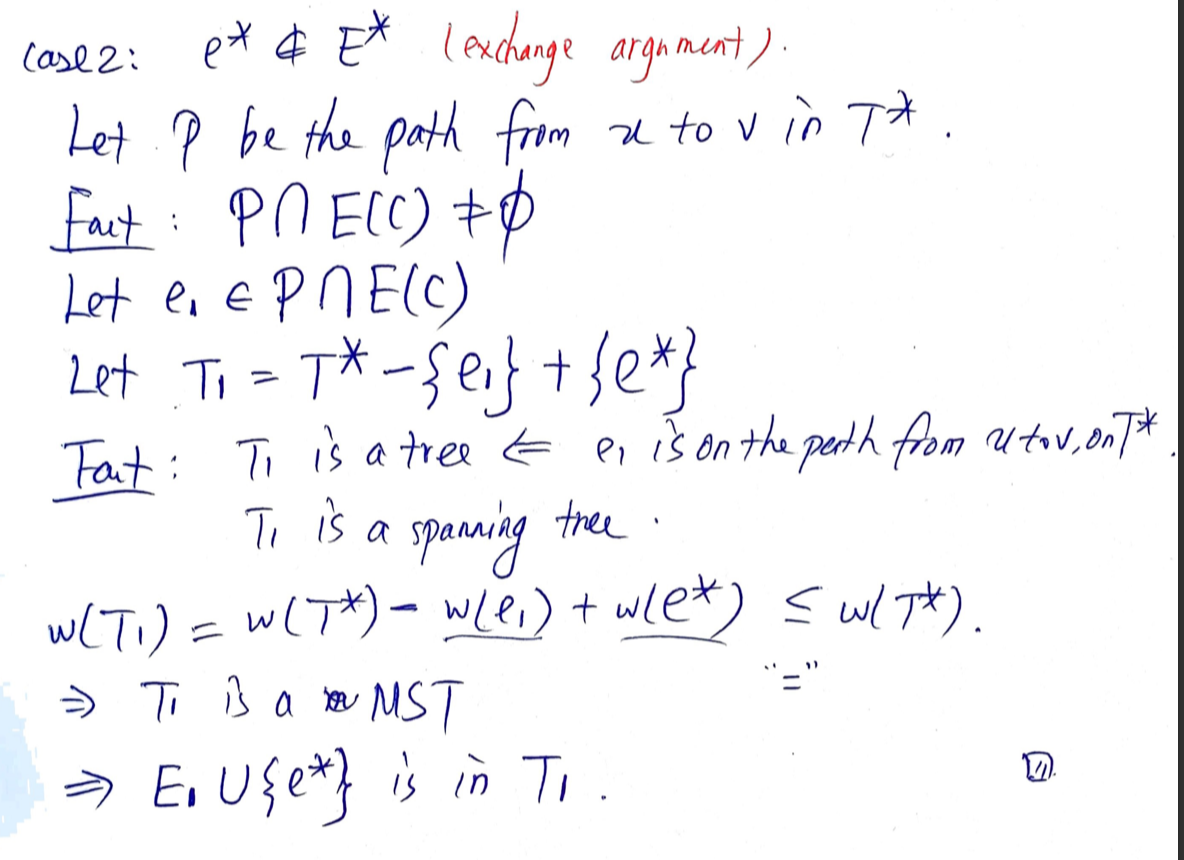
여기서 E1 은 첫번째 Edge 인가.
E1 subset 이구 + e * 도 crossing weight of min weight 와 합쳐도 MST다




이거랑 비슷한거 같다. 이걸 먼저 봐야겠다.

w(T1) wegiht 를 보면 w(e^*) 이 w(e1) 보다 더 작다 그래서
T1 is an MST 이다.

T1 는 MST 인데 e1 이 e * 보다 더 작기 때문에 MST 이다.
E1 edge E1 는 E1 이 subset 이다
E1 subset 이랑 e* 는 min of crossing edge 이다. 이걸 먼저 기억하자
Prim Algorithm

crossing edge 의 최소를 찾기

V 는 Vertex 에서 S 가 뭘까? 그냥 Vertex Set을 뜻함



이거는 좀 찾아봐야겠다.
Kruskal 은 알겠다.

뭐 대충은 알겠다
다시 정리
-
Crossing Edge 는 항상 MST 에 속한다.
-
증명 - 다른 crossing edge를 할 경우 결국 crossing edge 기존꺼가 더 작다고 해서 접근한다.
-
Prim은 Priority Queue 를 사용해서 min crossing edge를 찾는다.
-
Kruskal은 Cycle
https://progresivojs.tistory.com/7


https://progresivojs.tistory.com/3

'PSU > CSE 565 - Algorithm' 카테고리의 다른 글
| 알고리즘 시험 준비 - [1/3 Quizzes] - 2019-10-09 (0) | 2019.10.16 |
|---|---|
| 알고리즘 시험 준비 - [13/13 Files] - 2019-10-09 (0) | 2019.10.16 |
| 알고리즘 시험 준비 - [11/13 Files] - 2019-10-02 (0) | 2019.10.16 |
| 알고리즘 시험 준비 - [9/13 Files] - 2019-09-25 (0) | 2019.10.16 |
| 알고리즘 시험 준비 - [8/13 Files] - 2019-09-23 (0) | 2019.10.15 |