MJay
알고리즘 시험 준비 - [6/13 Files] - 2019-09-16 본문

Divide and Conquer 를 지금까지 이야기를 했다.
Merge-Sort
Convex-Hull
Half-Plane Intersection
FFT
2번 3번은 다 duality에 속한다.
다 보면 O(nlogn) 이네.
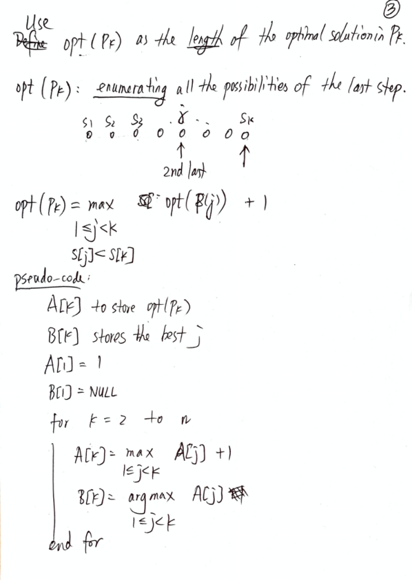
그리고 이제 Dyanmic Programming을 하면 된다.
DP는 퀄 떄문에 많이 해봐서 어렵지는 않다.


Longest Increasing Subsequence - 조심해야 하는 점은 이건 Substring이 아니고 subsequence 라서 연속이 아니다. 그래서 전 단계 말고 그냥 j 단계 1< j < k 이런 느낌으로 풀면 된다.



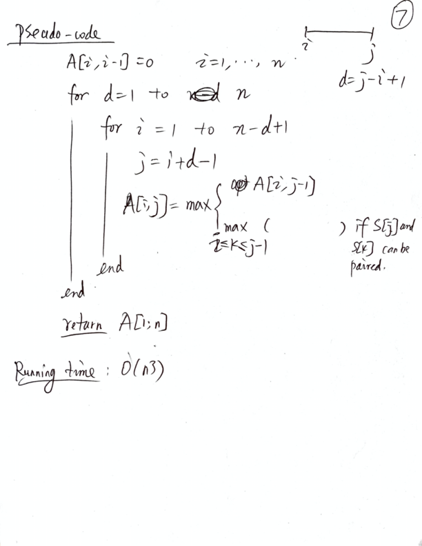
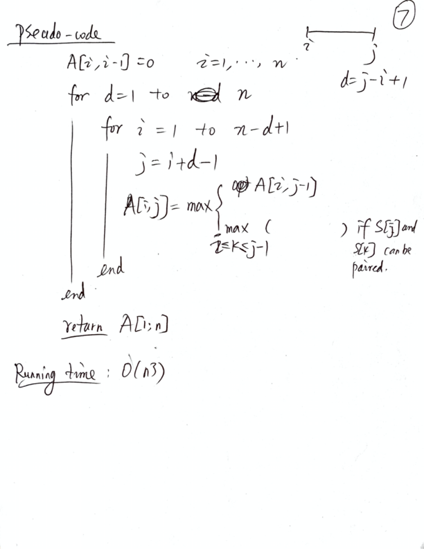
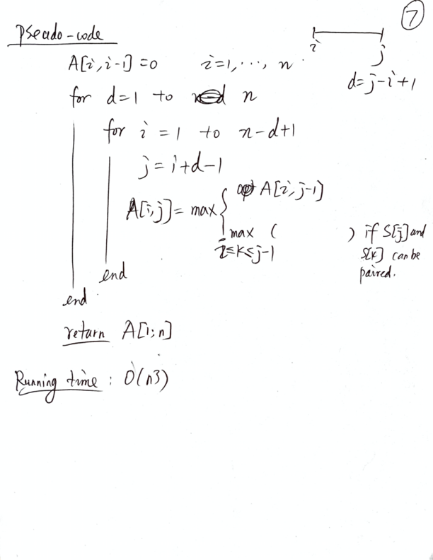
RNA 는 양쪽이 같지 않으면 마지막 단계에서 1을 뺴면 되고
아니면 양쪽이 같으면 한번 k로 나눠서 1, k-1 + k+1 , j-1 이렇게 접근하면 된다.
이건 외우는게 나을듯

O(n^3)
'PSU > CSE 565 - Algorithm' 카테고리의 다른 글
| 알고리즘 시험 준비 - [8/13 Files] - 2019-09-23 (0) | 2019.10.15 |
|---|---|
| 알고리즘 시험 준비 - [7/13 Files] - 2019-09-18 (0) | 2019.10.15 |
| 알고리즘 시험 준비 - [5/13 Files] - 2019-09-11 (0) | 2019.10.15 |
| 알고리즘 시험 준비 - [4/13 Files] - 2019-09-09 (0) | 2019.10.15 |
| 알고리즘 시험 준비 - [3/13 Files] - 2019-09-04 (0) | 2019.10.15 |