MJay
알고리즘 시험 준비 - [5/13 Files] - 2019-09-11 본문
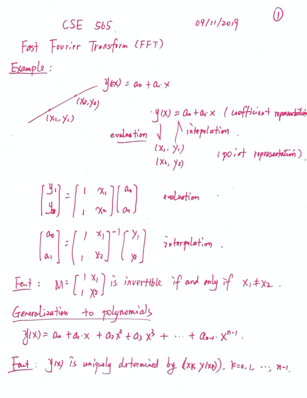
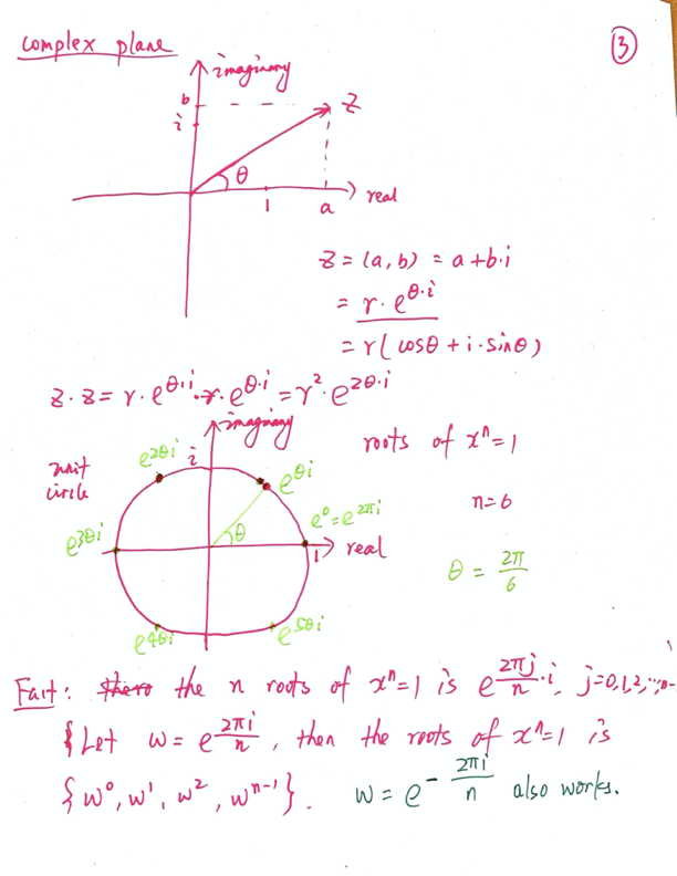
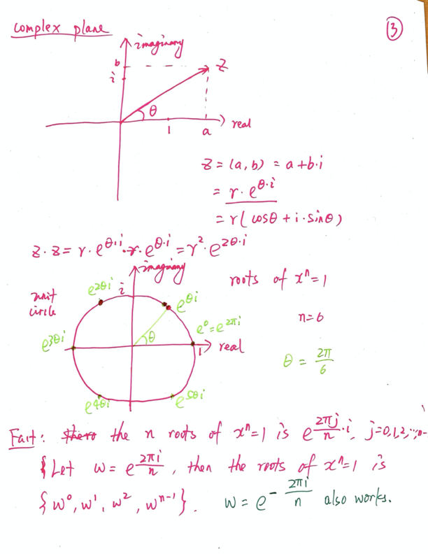
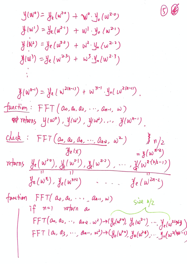
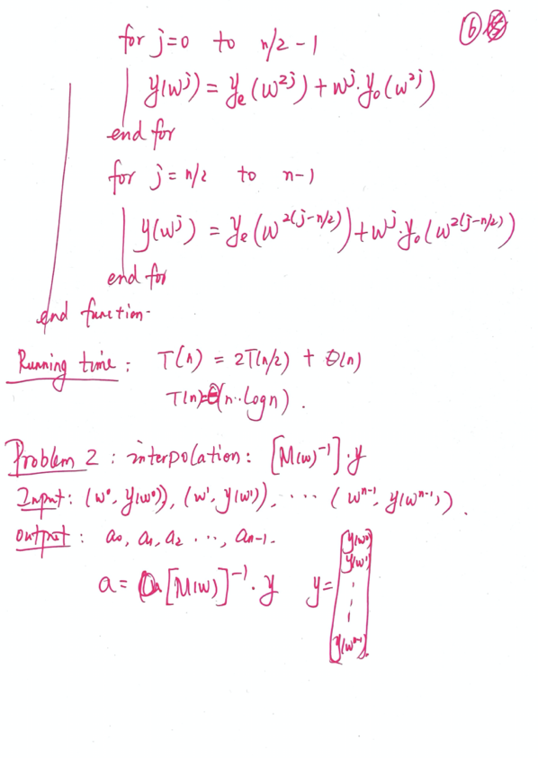
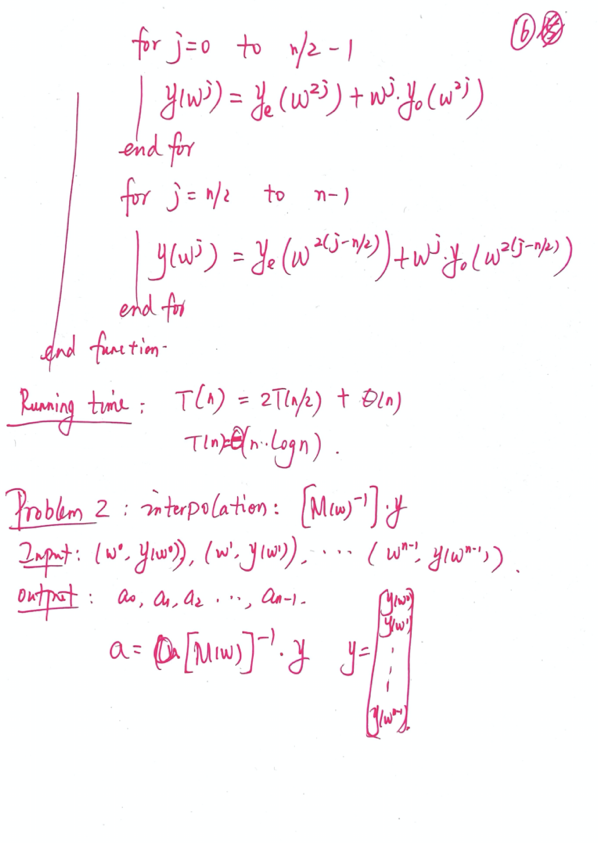
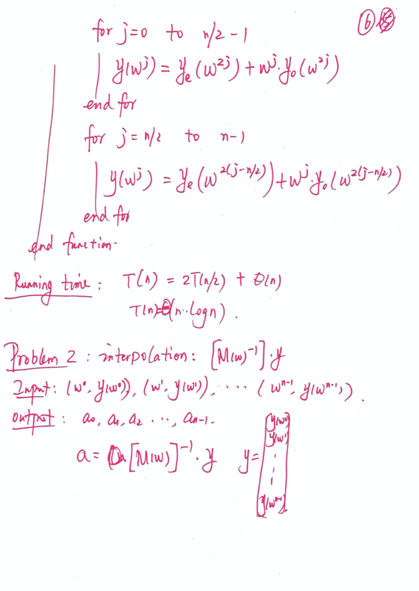
Fast Fourier Transform 이다 이건
그냥 문제로 퀴즈에 나오니 그걸로 풀면 될꺼같다.
Divide and Conquer 로 하면 F(n) = 2 * F(n/2) + O(n) 이렇게 하면 될꺼같다.
이정도만?

전체







'PSU > CSE 565 - Algorithm' 카테고리의 다른 글
| 알고리즘 시험 준비 - [7/13 Files] - 2019-09-18 (0) | 2019.10.15 |
|---|---|
| 알고리즘 시험 준비 - [6/13 Files] - 2019-09-16 (0) | 2019.10.15 |
| 알고리즘 시험 준비 - [4/13 Files] - 2019-09-09 (0) | 2019.10.15 |
| 알고리즘 시험 준비 - [3/13 Files] - 2019-09-04 (0) | 2019.10.15 |
| 알고리즘 시험 준비 - [2/13 Files] - 2019-08-28 (0) | 2019.10.15 |